
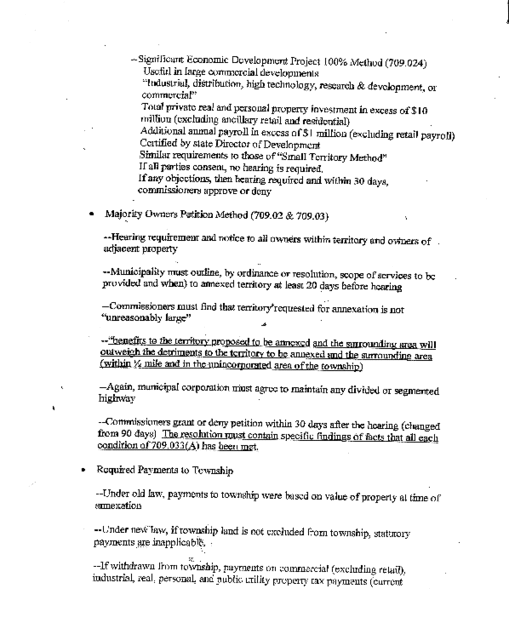
Here is the image of the points to the 2nd page of how Senate Bill #5 will reform the annexation process.
Dayton Daily News article -
Their area's annexations and hundreds of acres of residential subdivisions...
Battles over annexation reform have been raging for years.
In November of 2000 Pickerington City Council approved the "Emergency Expendoiture of up to $125,000.00 to by legal fees associated with expenses of Attorney Richard Brahm on behalf of the OCEA.
The 2000 Annexation reform bill cleared the Senate early in the year and was Killed in Committee in the House in December.
Listed below are links to early 2000 comments related to annexation reform and a link to the OCEA web site.
Please note the address - and pertinent articles to see if you feel this organization was seeking "equity" in annexation or seeking to continue annexation as USUAL.
In the Pickerington equation annexation as usual has brought this community another 850 acres of subdivisions and a former commercial area in Violet Township now zoned for mixed use.
Dayton Daily News 9/16
Cincinnati Enquirer April 2000 annexation article
Ohio Coalition of Equitable Annexation (OCEA)